Trang chủ ›
Tin tức nhà trường ›
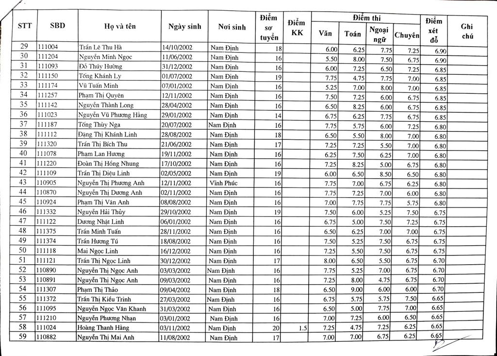
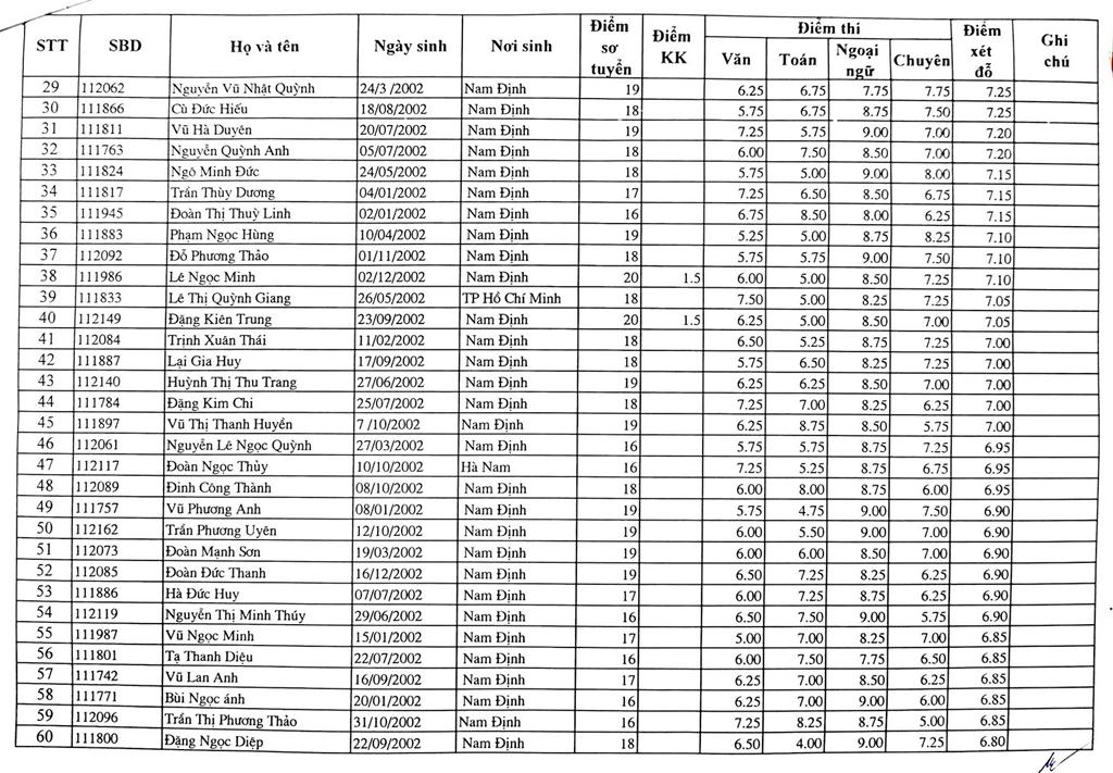
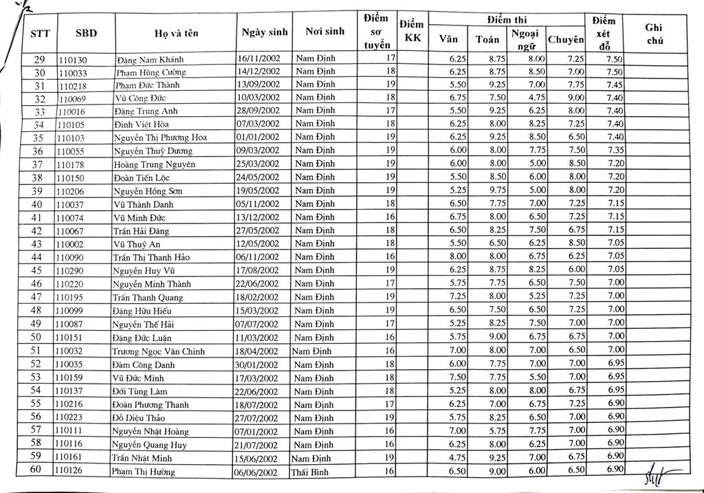
DANH SÁCH THÍ SINH TRÚNG TUYỂN VÀO TRƯỜNG THPT CHUYÊN LÊ HỒNG PHONG NĂM HỌC 2017-2018
DANH SÁCH THÍ SINH TRÚNG TUYỂN VÀO TRƯỜNG THPT CHUYÊN LÊ HỒNG PHONG NĂM HỌC 2017-2018
13/06/2017
































Tin liên quan
- Hội nghị bồi dưỡng, tập huấn lý luận chính trị hè năm 2025 - Sinh hoạt chính trị thiết thực đối với cán bộ giáo viên nhân viên nhà trường
- Cuốn sách quý viết về Trường Lê Hồng Phong anh hùng
- Trường THPT chuyên Lê Hồng Phong tổ chức Lễ tổng kết năm học; Tri ân và trưởng thành của học sinh lớp 12
- Trao thưởng giáo viên và học sinh đạt kết quả cao trong các kì thi
- Hương sắc tháng Ba




.jpg)

